熱式質量流量計在核電廠液體微小流量測量中的應用
流量是核電廠運行過程中重要的過程參數之一,常用的流量測量儀表有孔板流量計、超聲波流量計、電磁流量計以及熱式質量流量計等。熱式質量流量計目前多用于工業中氣體流量的測量,在核電廠中則普遍應用于通風系統流量測量場合。在采用軸封型主泵的核電廠中,主泵第三級密封泄漏流是典型的微小流量工況。孔板流量計和超聲波流量計通常并不適用或不能取得良好的測量效果。熱式質量流量計自問世以來,已在核電廠通風系統中獲得了成功的應用,而在液體微小流量測量方面,熱式質量流量計也具有一定的適用性。
1 熱式質量流量計的原理①
熱式質量流量計是利用熱傳導原理,即通過流動中的流體與熱源之間的熱量交換,來測量介質流量的儀表,主要可分為兩類:利用流體流動傳遞熱量改變測量管壁溫度分布(即熱傳導分布)效應的熱分布式流量計,也稱為量熱式質量流量計;利用熱消散效應(基于金氏定律)的侵入式質量流量計,也稱為導熱式質量流量計或插入式質量流量計。
熱分布式質量流量計的工作原理是在測量管外壁上、下游各繞兩組加熱/檢測線圈,兩組線圈通以恒定電流加熱,當流體靜止(無流量通過)時,兩組線圈中心上、下游溫度分布處于對稱平衡狀態,兩組檢測線圈的電阻相等;當有流體流動時,流體將上游管壁熱量帶走傳遞給下游管壁,破壞原平衡狀態,線圈電阻產生差異,檢測其差值從而求得流體質量流量:
(1)
式中 A———熱傳導系數;
cp———被測介質的定壓比熱容;
K———常數。
熱消散效應(基于金氏定律)侵入式質量流量計的工作原理是將兩個溫度傳感器(一般為鉑熱電阻)分別置于管道的流體中,由其中一個鉑電阻測得流體本身的溫度T,另一個鉑電阻經一定功率的電加熱,其溫度TV高于T,當流體靜止時其溫度最高,伴隨著管道中流體流量的增加,流體流動帶走更多熱量使TV降低,即可通過溫度差求取流量值。基于金氏定律的熱絲熱散失率為:
(2)
式中cv———流體的定容比熱容;
d———熱絲直徑;
H/L———單位長度熱散失率;
V———流體的流速;
ρ———流體的密度;
λ———流體的熱導率。
侵入式質量流量計根據對鉑熱電阻的加熱方式,又分為恒功率式、恒溫差式和恒比率式。
恒功率式是在加熱電路上用一個恒定功率的電能對鉑電阻進行加熱,流體介質在靜態時,被加熱的鉑電阻和沒有被加熱的鉑電阻之間溫度差最大,隨著流體介質的流動,被加熱鉑電阻上溫度降低,則兩個鉑電阻之間的溫差減小。恒功率式熱式質量流量計是通過測量溫差的變化來獲得流體介質流量的變化。
恒溫差式是加熱一支鉑電阻,使其比不加熱的鉑電阻高出一個恒定的溫度。隨著流體介質的流動,被加熱的鉑電阻由于散熱而導致溫度降低,通過反饋電路反饋到處理器增大加熱器的電流(也可以是電壓)來保持其溫差為恒定值,再通過檢測變化的電流(或電壓)來獲得流量的變化值。
恒比率式是在恒溫差原理的基礎上,通過調節施加在加熱端熱電阻上的加熱電流以保證被加熱的鉑電阻阻值與不加熱的鉑電阻阻值成一恒定比率。同恒溫差式質量流量計一樣,恒比率式質量流量計也是通過檢測變化的電流來獲得管道中流體的流量值。
2 核電廠中微小流量的測量與熱式質量流量計的應用
2.1 核電廠中的典型微小流量測量工況
在使用軸封型反應堆冷卻劑泵(主泵)的核電廠中,主泵的第三級密封泄漏流是一種典型的微小流量工況。軸封系統是軸封型主泵的關鍵部件,其長期可靠運行不僅關系到核電廠的正常運行,也直接影響到核電廠的安全。軸封的功能是保證核電廠正常運行期間從一回路系統沿主泵泵軸向安全殼空間環境的反應堆冷卻劑泄漏量基本為零,要求其長期處于高壓差工況,并維持可控泄漏率。軸封一旦失效會導致核電廠一回路的壓力邊界完整性喪失,其泄漏率如果超過了化容系統的補給能力,則會導致潛在的小破口失水事故的發生,影響電廠安全。典型的流體動壓型軸封系統通常由3道串聯機械密封和1道停車密封組成,通過降壓裝置將一回路系統壓力分配到串聯的各級密封上面,從而降低單級密封承受的壓力,增加主泵軸封長期運行的可靠性。通過三級降壓,主泵第三道密封之后壓力降低至大氣壓。考慮到若主泵第三級密封泄漏流流量過大,說明密封可能已磨損或損壞,流量過小,則對密封面的散熱和潤滑不利,而影響軸封壽命。因而在核電廠正常運行工況下,主泵第三級密封泄漏流的流量約為5L/h左右,當流量達到50L/h時,則需要產生報警提醒操作員。
2.2 常用的主泵第三級密封泄漏流量測量方法
目前在多個核電廠(例如秦山核電)中,采用容積式流量測量的方法,即通過液位儀表測量主泵密封泄漏流量在容器中的變化速率來推算泄漏流量。測量示意圖如圖1所示。
圖1 容積式流量測量裝置示意圖
容積式流量測量裝置一般由容器(允許流入和流出)和液位開關組成。當正常運行時,容器內的液位隨液體流入和流出速率的變化而變化:
(3)
式中a———容器下泄口的面積;
A———容器的截面積;
f(t)———泄漏流的瞬時流量;
h(t)———容器內液位。
當流量增大時,流入容器的流量大于經容器下泄口流出的流量,容器內的液位開始上升。當上升至容器內的設定點時,觸發液位開關動作,發生報警,表明第三級泄漏流的流量過大。若將液位測量儀表由液位開關改為液位變送器,并配合數據采集和處理系統,則可獲取泄漏流實時流量。
2.3 熱式質量流量計的適用性
考慮到容積式流量測量裝置結構較復雜,安裝維護和校準不方便,有必要在滿足精度和抗震性能要求的前提下,采用安裝和維護方便的其他形式流量測量儀表。熱式質量流量計已在氣體流量測量領域獲得了成功的應用,具有無可動部件、壓損小及量程比寬等特點,例如在核電廠的通風系統中,已成功地替代皮托管成為重要的測量方式。但在液位流量測量領域,熱式質量流量計的應用仍具有局限性。
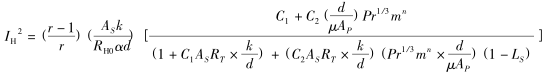
由式(2)可知,熱絲的熱散失率與流體的熱導率、比熱容、流速和密度有關。相對于通風系統中的空氣來說,水是一種具有較大比熱容、較大密度和熱導率的介質。在相同的流速下,水帶走的熱量遠大于空氣,對于以恒定功率加熱熱端鉑電阻的恒功率型熱式質量流量計,為了適應水流量的測量,加熱電路會采用比較高的加熱功率為熱端鉑電阻進行加熱;對于恒溫差型的熱式質量流量計,為了維持兩個鉑電阻之間恒定的溫差,加熱電路同樣會處于比較高的加熱功率狀態下,且加熱功率將隨水流量的增大而增大。因而,無論是恒功率型還是恒溫差型,加熱功率的提高會對流量計的安全性和壽命有很大的影響,也使其應用環境造成一定的局限性。而恒比率式流量計由于通過調節施加在熱端熱電阻上的加熱電流,使熱端熱電阻的阻值與冷端熱電阻的阻值成一恒定比率,因而同恒溫差式流量計相比,在測量相同流速流體的情況下,恒比率式流量計熱端鉑電阻的加熱電流要小于恒溫差式,因而其加熱功率不會過高而產生儀表安全性和使用壽命方面的不利影響。對于主泵第三級密封泄漏流這種微小流量的測量,相對于恒功率式和恒溫差式,恒比率式熱式質量流量計具有更好的應用價值,然而對于較大液體流量的測量則并不適用。恒比率式流量計的熱端鉑電阻加熱電流IH與介質質量流量m的關系為:
(4)
式中 AP———流體流經管道的截面積;
AS———傳感器參與熱交換部分的表面積;
C1、C2———通過校準確定的常數;
d———熱電阻傳感器直徑;
k———流體熱導率;
LS———傳感器損耗能量的因數;
n———校準過程中通過回歸確定的指數;
Pr———流體的普朗特數;
RC———冷端鉑電阻阻值;
RC0———冷端鉑電阻在0℃時的阻值;
RH———熱端鉑電阻阻值;
RH0———熱端鉑電阻在0℃時的阻值;
r———恒比率參數(自加熱系數),r=
α———鉑電阻的參數。
2.3.1 基本性能
熱式質量流量計作為一種直接測量質量流量的智能型流量儀表,具有結構簡單、體積小、數字化程度高及安裝方便等優點。熱式質量流量計的測量精度一般約為±1%,重復性為±0.2%;量程比寬可達100∶1,最高可達1000∶1;在-40~60℃的環境溫度下可正常工作;可耐受3MPa或更高的管道壓力;允許介質工作溫度-70~400℃;允許被測液體的流速為0~4m/s;支持HART協議。另外,具有壓損小、直管段要求低和允許動態修正的特點,其響應時間較長,未采用特殊設計時可達幾秒。熱式質量流量計具有一體式和分體式兩種結構,在累積輻照劑量較大區域,可采用分體式流量計進行測量,信號處理部分布置于累積輻照劑量較小區域。
主泵第三級密封泄漏流正常工況下在5L/h左右,達到50L/h時報警,不用于過程控制。在電廠正常運行工況下,測點所在區域的環境溫度約為50℃以下,工作壓力小于0.6MPa,工作溫度小于100℃,要求測量范圍的量程比約為30∶1,屬于非1E級測點。因此,就測量要求而言,熱式質量流量計適用于主泵第三級密封泄漏流量的測量。
2.3.2 抗震性能
由于主泵第三級密封泄漏流測點位于安全殼內,周圍存在1E級儀表和核級管道,盡管測點本身不需要在設計基準事件工況下執行功能,但不應對其他需要執行功能的設備或儀表造成損害,因而用于該測點的儀表應滿足抗震要求,在SSE地震載荷下,滿足結構完整性的要求,避免放射性物質經儀表破口向環境釋放以及對周圍1E級儀表和核級設備產生潛在危害。
熱式質量流量計結構簡單,除進行抗震試驗外,抗震分析亦可用于分析其抗震性能。在抗震分析中,需要重點對薄弱部位進行應力分析,通常包括傳感器與管道相交的節點處、螺紋連接處及法蘭連接處等位置。
對某一型號熱式質量流量計進行抗震分析,取三向峰值加速度為6g。通過應力分析表明,流量計的第一階自振頻率大于33Hz,在地震載荷作用下,薄弱部位的計算應力值均小于規定的應力限值,從而認為其在SSE地震載荷下,結構完整性可以得到保證。
2.3.3 耐輻照性能
因主泵第三級密封泄漏流測點位于安全殼內,在電廠正常運行工況下,探頭所處的環境具有一定的電離輻射存在。因而,用于該測點的儀表應能經受一定的累積輻照劑量而測量結果仍在要求的測量精度范圍內。目前,對于儀表的耐輻照性能,主要采用試驗法進行驗證。
對某一型號分體式熱式質量流量計探頭進行耐輻照試驗,輻射源采用鈷-60,試驗時間持續40h以上,累積輻照劑量約2×104Gy,輻照后進行功能試驗,流量計的輸出維持在測量精度范圍內,表明該型流量計可以經受若干年的累積輻照劑量而不損壞。
2.3.4 安裝
為便于安裝和維護,流量計可采用法蘭-法蘭連接的形式。在一般情況下,為了滿足測量精度,熱式質量流量計對于前后直管段的要求較高,部分型號的流量計要求的直管段長度可達到前15D、后5D以上。但由于流量計允許動態修正,經過標定和修正后,可降低熱式質量流量計的前后直管段要求。對于主泵第三級密封泄漏流的測量,熱式質量流量計可滿足安裝和維護要求。
2.4 水流量測量試驗驗證
熱式質量流量計在出廠前均經過出廠標定,以確保其性能滿足要求。此外,為了驗證流量計在主泵第三級密封泄漏流量測量場合的適用性,搭建了模擬試驗裝置如圖2所示。試驗裝置由玻璃轉子流量計、壓力表、Swagelok計量閥和管道組成。流量計探頭安裝在壓力表和閥門之間,測量信號通過電纜送至流量計的數據處理單元,并最終在顯示儀上進行顯示。計量閥用于調節試驗裝置的流量,玻璃轉子流量計測得的結果作為熱式質量流量計測量結果的參考,壓力表用于試驗裝置試驗過程壓力的測量。
圖2 模擬試驗裝置
由于主泵第三級密封泄漏流的流量在正常運行工況下約為5L/h左右,當達到50L/h時需要發出報警。因此,試驗點可適當取為5L/h以下、5L/h、5~50L/h和50L/h以上。通過調節計量閥達到各選取試驗點的流量,將熱式質量流量計的測量結果與玻璃轉子流量計測量結果進行對比,結果顯示,熱式質量流量計的結果與玻璃轉子流量計的結果是相符的。
2.5 布置設計
采用熱式質量流量計替代容積式流量測量裝置測量主泵第三級密封泄漏流量,對于簡化泄漏流管道布置和儀表安裝具有一定的積極作用。然而為了確保流量計正常工作,以及安裝和維護方便,流量計的布置也需要采取一些措施。一般泄漏流管道的通徑采用DN25mm,由于泄漏流量小,在電廠運行過程中,可能出現泄漏流管道內介質不滿管的情況,這一情況對于流量計的測量是不利的。為了滿足流量計測量條件,采取如下措施:熱式質量流量計自帶管道采用通徑較小的管道,如DN8mm,與泄漏流管道通過異徑接頭進行連接;在流量計下游適當位置設置一段向上的坡度后再向下接至下泄管道,替代直接向下接至下泄管道的做法。通過上述措施,避免泄漏流管道內出現介質不滿管的情況。另外,流量計與管道采用法蘭安裝,以簡化安裝和維護。
3 結束語
盡管熱式質量流量計的響應時間較慢,但對于核電廠中對響應時間要求不高的液體微小流量測量場合,它提供了另外一種選擇。除熱擴散式質量流量計外,近些年出現了基于珀爾帖效應的制冷型熱式質量流量計,對于液體流量的測量,也表現出一定的適用性。新型儀表的出現,為過程測量提供了新的方法,但其實際應用需基于充分地分析和驗證。
版權所有 Copyright(©)2009-2011 江蘇力科儀表有限公司
電話號碼:0517-86909222 商務熱線:15305232668 傳真:0517-86909221
地址:江蘇省金湖縣工業園
技術支持: